In this article, we will discuss what are monthly resets. These leveraged ETFs reset daily and start each day afresh. However, that is not the most prudent strategy for an investor in the long run.
Let’s understand this, a very volatile market might have a lot of upswings and downswings, and thus, this might erode your holding.
Generally, leveraged ETFs have a negative bias.
Let’s take an illustration:
Suppose an index starts at a 100-point mark and an investor has an ETF that replicates this index and also a 2x leveraged ETF.
Now, let’s assume that the index falls 10% daily.
| Daily change in the index | ETF | 2x leveraged ETF |
| 100 | 100 | |
| -10% | 90 | 80 |
| +10% | 99 | 96 |
So, you see that a leveraged fund will require a 12.5% change in the index to reach the initial level of 100, whereas the replicating ETF will require an 11.1% return to come to the initial level of 100.
Thus, a leveraged ETF will have a negative bias.
Such leveraged ETFs are not suitable for a long-term investment, as choppy markets can essentially erode your investments. To mitigate this, the ETF firms came up with a monthly reset strategy such that the risks of a daily reset are avoided.
In a monthly reset option, ETFs provide a return every month rather than daily – which seems like a very appealing alternative to the daily reset issue. A monthly reset is not a better alternative but only a different option.
However, there’s a catch to this reset. This reset happens only on a pre-specified day – usually on the first trading day of the month. Traders who purchase or sell on this specific day can take advantage of the ETF’s leverage.

Monthly reset products can yield different results than one-day reset products.
The monthly reset may be advantageous in unstable markets, but in trending markets, the more extended reset period implies the fund may be under- or overexposed within the month.
Leveraged funds continue to transform and develop new techniques to maximize returns. However, all such methods have found no solution to the beta problem.
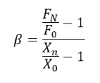
(β) decay on account of the daily resetting. The beta (β) of a leveraged fund is the ratio of the fund’s realized cumulative return to the index’s return in the same period.

F is the leveraged return of the fund and X is the underlying index return.
Now, beta drift (BD) is the difference between the beta (β) and the ETF leverage denoted by L.
BD = β – L
Now, this BD is also known as a beta decay because the β falls below the fund’s leverage in the longer run. For a daily reset, this decay is on the higher side than the monthly reset.
In response to this, monthly resets have leveraged up to a fixed period, i.e., a month.
The bottom line is that a monthly reset is just another reset technique similar to a daily reset; in the long run, both types of ETFs share identical characteristics.
Such decay is present in both these ETFs and risk-averse buy-and-holds investors would not appreciate the same.
Volatile markets will wreak havoc on both these ETFs, and they are sure of underperforming compared to their underlying index in the long run due to the negative bias of these funds.
These options are great for an active investor, but due diligence before proceeding is necessary.
FAQs
What does it mean when an ETF resets?
Most leveraged ETFs reset daily and start each day afresh. However, that is not the most prudent strategy for an investor in the long run. In a monthly reset option, ETFs provide a return every month rather than daily – which seems like a very appealing alternative to the daily reset issue. A monthly reset is not a better alternative but only a different option.
However, there’s a catch to this reset. This reset happens only on a pre-specified day – usually on the first trading day of the month. Traders who purchase or sell on this specific day can take advantage of the ETF’s leverage.
How often is the reset done for the majority of ETFs with resets?
These leveraged ETFs reset daily and start each day afresh. However, that is not the most prudent strategy for an investor in the longer run.
Let’s understand this, a very volatile market might have a lot of upswings and downswings, and thus, this might erode your holding. Generally, leveraged ETFs have a negative bias.
When should I exit ETF?
An investor can sell off his Exchange Traded Fund in two ways-
Sell openly in the stock market, the most chosen one.
Gather enough ETF shares to make a creation unit (mostly 50000 units) and sell it back to the fund. Generally, only Institutional investors have this option open due to its higher costs. When the fund gets this creation unit, it is destroyed, and the underlying security goes back to the redeemer.
Do ETFs give good returns?
Investing in an ETF is less risky than investing in a stock, as ETFs are diversified. In the case of ETFs, investors do not control what happens to the portions of the ETFs.
ETFs have a diversified profile of assets, and the risk associated with the investment reduces significantly. In stocks, the risk attached is higher as the stock price depends entirely upon the company’s performance and other exogenous factors of the world.
